网站首页  词典首页


请输入您要查询的字词:

 

字词 顺位相关系数法
类别 中英文字词句释义及详细解析
释义 顺位相关系数法

[说明]印刷适性值的结果尽管是客观的,但对用户仍然缺乏说服力,因为对印

刷质量来说,感觉的评价仍然十分重要。顺位相关系数法即是将印刷适性值与肉眼观察效果相结合的一种表示方法。

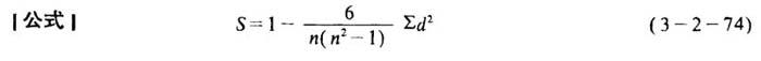
式中 顺位相关系数

n-试料数

d-顺位之差

x-印刷适性值

y-肉眼印刷效果

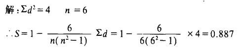
[例]现有六种纸张,其印刷适性值x与按肉眼判定效果y之顺位结果如表3-2-4。

表3-2-4 顺位结果

查表3-2-5可得界限制S=0.887,比危险率1%之界限值0.943小,但比危险率5%之界限值0.829大,即说明本例印刷适性值其错误率在100次中不超过5次,因此用户是完全可以信赖的。

表3-2-5 S界限值表

随便看

 

离鸟网收录3541549条中英文词条,其功能与新华字典、现代汉语词典、牛津高阶英汉词典等各类中英文词典类似,基本涵盖了全部常用中英文字词句的读音、释义及用法,是语言学习和写作的有利工具。

 

Copyright © 2004-2024 vtrois.com All Rights Reserved
更新时间:2026/4/19 15:19:33